下载COM绿色软件园 ● 应用
分类分类
 
    大小:22.2 M更新:2025-10-29
类别:实用工具系统:Android
千维计算器中文版是一款非常实用的多功能科学计算工具,这说明该软件所拥有的功能非常丰富,除了基本的计算功能之外,还带有单位转换功能,公式功能,以及常用的生活小工具。就基本的计算功能来说,除去加减乘除的四则运算之外,还有着专门的科学计算器、房贷计算器、税费计算器、工资计算器、个人所得税计算器、物理工程单位计算器等不同分类的计算器,可以适用于生活中的各类实际应用场景。而说到生活方面,千维计算器app还有着手机屏幕标尺、手机屏幕量角器、噪音测量仪、财务会计汉字大写查询等实用的小工具。
当然,部分小伙伴可能还不了解各个单位之间的转换比率,为此千维计算器app中还推出了进制转换功能,该功能不仅可以满足日常生活所需的汇率查询转换,还包括了其他各类单位间的转换,如长度、面积、体积、时间、时区、温度、速度、重量、功率、能量、力、压强、电阻等等。而对于学生们来说,数学公式的加入能够有效解决学习中遇到的各项难题。目前千维计算器中文版所支持的数学公式包括了三角函数、反三角函数、平方、立方、开方、幂函数、对数、弧度、倒数、阶乘等许多种类。如果你也需要这样一款功能强大的计算器工具,那就赶紧来下载试试吧!
1、语音自动播报按键效果,同时支持设置为按钮点击音效或者静音。
2、计算支持四则运算与分步计算两种模式,界面中可以直接切换实时显示计算结果。
3、自动保存计算过程,同时支持手动点按“=”手动保存计算记录。
4、高精度计算,支持28位有效数字,小数15位有效数字。
5、支持主流的三角函数、幂函数、开方函数等同时计算。
6、支持国际主流的工程计量单位换算。
7、支持36内的进制间自由转换。
8、支持厘米尺子等生活实用工具。
1、首先我们点击下方蓝色按钮中的第一个【自由公式】按钮。
	 
 
2、接着再点击右上角的【+】,创建自定义公式。
	 
 
3、第一行填写【公式名称】,第二行填写【公式内容】,填完后点击右上角【√】保存。
	 
 
4、保存完成后,就可以在【公式列表】最下方看到创建好的公式。
	 
 
5、点进公式,【输入】对应的数值,即可自动完成计算。
	 
 
1、先把n个数据测量值画在坐标纸上,如果呈现一种直线趋势,才可以进行最小二乘法(直线回归法)。
	 
 
2、然后就是计算这些n个数据点的横坐标平均值和纵坐标的平均值:
	 
 
3、接着计算所有点的横坐标求和结果,以及所有点的纵坐标求和结果:
	 
 
4、然后是计算每个数据点横坐标的平方,然后求和,以及计算每个点横坐标乘以纵坐标的乘积,然后求和:
	 
 
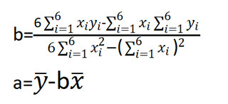
5、最后就是利用两个公式,把将要求的直线方程中的截距a和斜率b这两个参数代入上面的公式计算出来:
	 
 
6、求出了a和b这两个参数之后,就可以得到直线方程:y=ax+b。这个时候还要利用这个方程,先取两个点,这两个点要求横坐标x1和x2距离比较远,这样误差会比较小(太近的两个点,误差比较大),然后分别代入刚求出来的直线方程y=ax+b,求出对应的y1和y2,然后把(x1,y1)和(x2,y2)描点在坐标纸上,这样就可以利用两点画出一条最终的回归直线了。
	 
 
7、用户可以按照上述的创建自定义公式方法在千维计算器中创建最小二乘法的公式,然后进行方便计算。
	 
 
1、简约的界面设计。
2、个性化的快捷输入键盘。
3、输入即显示的快速换算。
4、个性化的记忆计算器。
5、一键快速科学函数计算器。
6、支持国际主流的工程计量单位。
7、支持小数进制转换。
8、简约化的自定义参数。
9、支持功能排序。
v6.8.5版本
• 优化自由公式函数计算
• 修复了已知问题
v6.8.0版本
• 自由公式添加更多函数支持
• 修复了已知问题
v6.7.8版本
• 优化了用户体验
• 修复了已知问题